西北核技术研究所成功研制国际首台多路并联4兆安快前沿大电流LTD装置

· 技术突破

近日,西北核技术研究所强脉冲辐射环境模拟与效应全国重点实验室团队在快前沿大电流直线变压器驱动源(Linear Transformer Driver, LTD)技术领域取得重大突破,成功研制出国际首台采用多路并联架构的4兆安(MA)快前沿大电流LTD装置。该装置在套筒负载(电感1.8nH)条件下,成功产生了峰值电流高达4.1MA、脉冲前沿(0.1-0.9)约60ns的大电流脉冲。

Section image

一、研究背景与意义

快脉冲大电流驱动源是强脉冲辐射环境模拟、Z箍缩惯性约束聚变等国防科技与前沿科学领域的核心装备。LTD技术采用"低电感、小电容"支路直接放电产生快前沿高电压大电流脉冲,并通过多支路串并联同步放电实现功率叠加,具有能量传递效率高、输出波形调节灵活、故障容忍度高及系统扩展性强等突出优点。为实际验证该技术在数十兆安级装置中的工程可行性、可维护性与可靠性,研究团队建造了这台4兆安LTD加速器。

其工程和科学目标明确:

  • 首先,建立并运行一个拥有数千个开关的多模块LTD装置,为未来更大规模的LTD加速器提供可靠性数据和维护经验;
  • 其次,旨在驱动Z箍缩负载和反射三极管,产生软X射线或温X射线,从而为相关研究提供高强度辐射源。

二、装置研制亮点与性能

面向强脉冲硬X射线辐射环境的应用需求,研究团队突破了快前沿大电流驱动源总体设计、LTD脉冲源研制、超高功率正极性电脉冲真空传输等关键技术。

该4MA LTD装置是首个成功运行的并联式多模块LTD发生器,其核心设计在于通过六个并联的LTD模块同步放电,将能量高效汇聚至负载。整个装置高约3.2米,外径约22米,其主要系统组件包括:

Section image

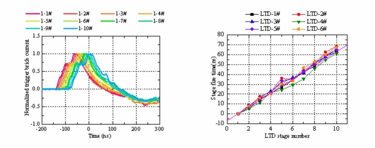
高性能LTD脉冲源及关键器件:整个装置由6个并联的LTD模块构成。每个模块又由10级标准的LTD腔体串联而成。每一级LTD腔体内包含24个独立的放电“砖块”。每个砖块由2个100kV、30nF的电容器和1个四间隙气体火花开关串联构成。整个装置共使用了2880个电容器和1440个开关在±85kV充电电压下,装置初始储能约300kJ,每个模块的匹配输出阻抗约为1.8Ω,整个加速器的等效驱动阻抗约为0.3Ω。

团队优化了支路放电参数及模块串并联配置,研制了低电感长寿命放电支路、环氧树脂绝缘子、柔性高压电缆等核心器件,显著提升了模块绝缘可靠性。提出了LTD脉冲源与关键支持系统整体化设计方案,大幅提升了脉冲源结构紧凑性与维修便捷性。测试表明,单个LTD脉冲源工作电压达±90kV,输出峰值电流超400kA,脉冲前沿约45ns,输出抖动约2.2ns。

Section image
Section image

高精度同步触发技术:团队研制了基于高倍增GaAs光电导开关与气体火花开关一体化的低光能触发支路,仅需数十微焦耳脉冲激光即可通过一级脉冲放电直接输出百千伏电脉冲。该同步触发系统成功实现了60个模块、共计1440只气体开关按预设时序精准同步放电,时间控制精度小于5纳秒。

Section image
Section image

太瓦级正极性电脉冲高效传输:针对新型硬X射线负载对正极性电压的需求,采用“正极性脉冲直接产生与传输”方案,避免了传统“先负后正”极性翻转流程带来的能量损耗。通过优化高压绝缘堆栈的电场分布与绝缘配合设计,解决了正极性脉冲下真空段易电子发射的难题,成功研制兆伏级正极性高压绝缘堆栈及真空磁绝缘传输系统,实现了3-5MA脉冲大电流的高效率传输,峰值电流传输效率无损耗。

Section image
Section image

三、成果检验

该装置已成功用于驱动低阻抗硬X射线负载(如反射三极管),产生了大面积、高强度、平均光子能量为70-80keV的硬X射线辐射。实验测得,从装置储能到负载的能量传输效率约32%-40%,是传统多级脉冲压缩技术路线的2-3倍,显著提升了能量利用效率。

Section image
Section image

四、研制意义:填补国内空白,突破技术瓶颈

  • 填补国内技术空白:西北核技术研究所研制的4MA LTD装置是国内首台能够在全功率下直接输出兆安级电流的快前沿装置,填补了该领域的空白。
  • 技术攻关:该装置的研制克服了气体开关触发同步、低阻抗模块化设计等关键技术难题,实现了兆安级电流在亚纳秒尺度内的精确控制。

该装置的高电流密度特性使其非常适合用于产生极强的磁场,模拟和研究等离子体在高磁压下的行为,有望服务于未来的大型核聚变装置研发,或作为高能物理实验的关键脉冲功率驱动源。该4兆安LTD装置的成功研制,突破了快前沿大电流LTD、大规模开关同步触发、太瓦级正极性电脉冲传输及大型LTD系统集成等关键技术瓶颈,为后续研制更大规模的LTD装置奠定了坚实的技术基础,证明了LTD技术作为高效主脉冲电源在构建下一代大型加速器方面的巨大潜力。

参考链接:

  • https://mp.weixin.qq.com/s/aB82WfsohjhYCRvZqfN7Fw

论文链接:

  • https://doi.org/10.1063/5.0273536